当下国内总会出现的极寒和极热天气,温度的变化对液压设备影响很大,多地都出现液压设备启动不了或磨损严重的问题,我们公司针对这种极端气候研制 LI05 这个产品,其特点是即使在零下35摄氏度的环境中,也会表现出良好的使用特性。
液压油
1.1 液压油的用途和种类
1.2 液压油的主要性质
1.3 对液压油的基本要求和选择
1.4 液压油的管理和使用
1.1 液压油的用途和种类
1.1.1液压油的用途
(1)传递运动与动力。
(2)润滑。
(3)密封。
(4)冷却。
表1-1 液压油的主要品种及其特性和用途
1.2 液压油的主要性质
1.2.1 密度
单位体积液体的质量称为该液体的密度,即
1.2.2 可压缩性
液体受压力作用而发生体积减小的性质称为液体的可压缩性
1.2.3 粘性
1.粘性的物理性质
液体在外力作用下流动时,分子间的内聚力要阻止分子间的相对运动,因而产生一种内摩擦力,这一特性称为液体的粘性。
2.粘度
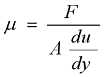
(1)动力粘度物理意义:
液体在单位速度梯度下流动时,接触液层间单位面积上的内摩擦力。

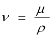
(2)运动粘度
在相同温度下,液体的动力粘度和它的密度的比值称为运动粘度 。
3. 粘度和温度的关系
液压油粘度对温度的变化十分敏感。液压油的粘度随温度变化的性质称为粘温特性。
4. 粘度和压力的关系
液体所受的压力增大时,其分子间的距离减小,内聚力增大,黏度亦随之增大。但对于一般的液压系统,当压力32MPa以下时,压力对黏度的影响不大,可以忽略不计。
液压油的粘度等级划分:
液压油粘度等级分为10,15, 22, 32, 46, 68, 100, 150 等八种,常用的粘度等级为 32, 46, 68